
↓↓↓ 아래는 내 리트코드 계정 ↓↓↓
Jiwon Lee - LeetCode Profile
Level up your coding skills and quickly land a job. This is the best place to expand your knowledge and get prepared for your next interview.
leetcode.com
문제 설명
Given a binary tree, determine if it is height-balanced.
For this problem, a height-balanced binary tree is defined as:
a binary tree in which the left and right subtrees of every node differ in height by no more than 1.
입출력 예
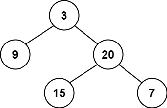
Example 1:

Input: root = [3,9,20,null,null,15,7] Output: true
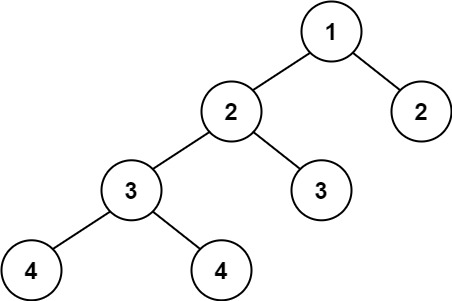
Example 2:

Input: root = [1,2,2,3,3,null,null,4,4] Output: false
Example 3:
Input: root = [] Output: true
Constraints
- The number of nodes in the tree is in the range [0, 5000].
- -104 <= Node.val <= 104
Code
# 재귀 구조로 높이 차이 계산
def isBalanced(self, root):
def check(root):
if not root:
return 0
left = check(root.left)
right = chech(root.right)
# 높이 차이가 나는 경우 -1, 이외에는 높이에 따라 1 증가
if left == -1 or right == -1 or abs(left - right) > 1:
return -1
return max(left, right) + 1
return check(root) != -1
이진트리에서 높이 균형은 효율적인 트리 구성에 매우 핵심적이라고 한다. 입력으로 받은 트리가 균형 트리인지 확인하기 위해 가장 아래 노드부터 0으로 시작해 왼쪽, 오른쪽 노드의 깊이가 얼마나 차이나는지 확인할 수 있다. 이때, 균형 트리의 정의에 따라 양쪽 자식 노드에 계산된 값의 차이가 1 초과가 되면, -1를 return하도록 했는데, 한 번 -1을 가진 노드가 생기면 그 트리는 균형 트리가 될 수 없다.
'Programming > #Algorithm' 카테고리의 다른 글
| [알고리즘] Leetcode #108 정렬된 배열의 이진 탐색 트리 변환 (Python) (0) | 2021.06.25 |
|---|---|
| [알고리즘] Leetcode #310 최소 높이 트리 (Python) (0) | 2021.06.24 |
| [알고리즘] Leetcode #617 두 이진 트리 병합 (Python) (0) | 2021.05.25 |
| [알고리즘] Leetcode #226 이진 트리 반전 (Python) (0) | 2021.05.25 |
| [알고리즘] Leetcode #687 가장 긴 동일 값의 경로 (Python) (0) | 2021.05.23 |