
↓↓↓ 아래는 내 리트코드 계정 ↓↓↓
Jiwon Lee - LeetCode Profile
Level up your coding skills and quickly land a job. This is the best place to expand your knowledge and get prepared for your next interview.
leetcode.com
문제 설명
Given the root of a binary tree, invert the tree, and return its root.
입출력 예
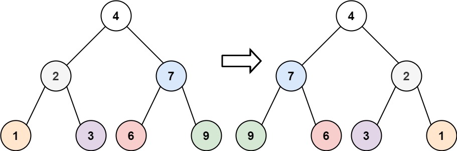
Example 1:

Input: root = [4,2,7,1,3,6,9] Output: [4,7,2,9,6,3,1]
Example 2:

Input: root = [2,1,3] Output: [2,3,1]
Example 3:
Input: root = [] Output: []
Constraints
- The number of nodes in the tree is in the range [0, 100].
- -100 <= Node.val <= 100
Code
# 반복 구조로 BFS
def invertTree(self, root: TreeNode) -> TreeNode:
queue = collections.deque([root])
while queue:
node = queue.popleft()
# 부모 노드부터 하향식 스왑
if node:
node.left, node.right = node.right, node.left
queue.append(node.left)
queue.append(node.right)
return root
트리를 뒤집기 위해 선입선출의 큐를 만들어 트리노드 자료를 저장해둔다. 이후, 큐의 popleft() 기능을 이용해 부모노드 (가장 왼쪽 값)부터 right, left의 자식노드를 바꿔준다. 이렇게 맨 아래 리프노드까지 자식노드들을 바꿔주면 전체 트리가 반전된다. (마지막 노드는 자식노드로 None 반환 -> if문 해당 x)
'Programming > #Algorithm' 카테고리의 다른 글
| [알고리즘] Leetcode #110 균형 이진 트리 (Python) (0) | 2021.05.27 |
|---|---|
| [알고리즘] Leetcode #617 두 이진 트리 병합 (Python) (0) | 2021.05.25 |
| [알고리즘] Leetcode #687 가장 긴 동일 값의 경로 (Python) (0) | 2021.05.23 |
| [알고리즘] Leetcode #509 피보나치 수 (Python) (0) | 2021.05.22 |
| [알고리즘] Leetcode #136 싱글 넘버 (Python) (0) | 2021.05.21 |